Which platform wins the battle of social media attention? Here, we combine the forces of Neurons AI with Neurons Inc's ad-insertion capability to test how the same ads perform on Facebook, Twitter, and Pinterest.
Recent studies have shown that ads on social media make an impact within the first second. Beyond that, ads are on average seen for only 3.4 seconds! So ad attention is absolutely key when working with social media.
When turning to attention, some obvious questions arise:
- What within the ad are people seeing? Is it the creative, the brand, the text, or something else?
- Are there any platform differences on ad attention?
- Are some platforms better for brand attention, and others for text, while others are good for attention to the creative?
To get an indication, we ran tests with the Neurons Inc ad insertion tool. This tool allows researchers to gain control over participants' social media feed. Here are a few examples of how it looked on Facebook, Twitter, and Pinterest:
This video shows how one ad for RiteAid was inserted into a person's natural feed on Facebook, Pinterest, and Twitter. Please note that for demonstration purposes, the ad is shown twice.
We ran four types of ads: B&O, Ribena, RiteAid, and Steam. The ads were randomly selected from a pool of ongoing ads, and are not related to any ongoing or past projects.
For each ad, we drew areas of interest (AOIs) using Neurons for three parts of each ad on each platform: Brand, Text, and Creative. We then analyzed the attention that each AOI produced per ad and per platform. We also made aggregate scores for each platform, and for each AOI type. Here's what we found:
The platform winner: Facebook (and Twitter)
First, we looked at which platform produced most attention to the ad as a whole. Here, we saw that both Facebook and Twitter performed much better than Pinterest. This can be seen in the following graph, which also breaks down the results per ad:

These results clearly show that Facebook and Twitter by far get the most attention. Below is a video showing how each video performed on ad attention to the B&O ad:
The B&O ad as evaluated on each of the platforms.
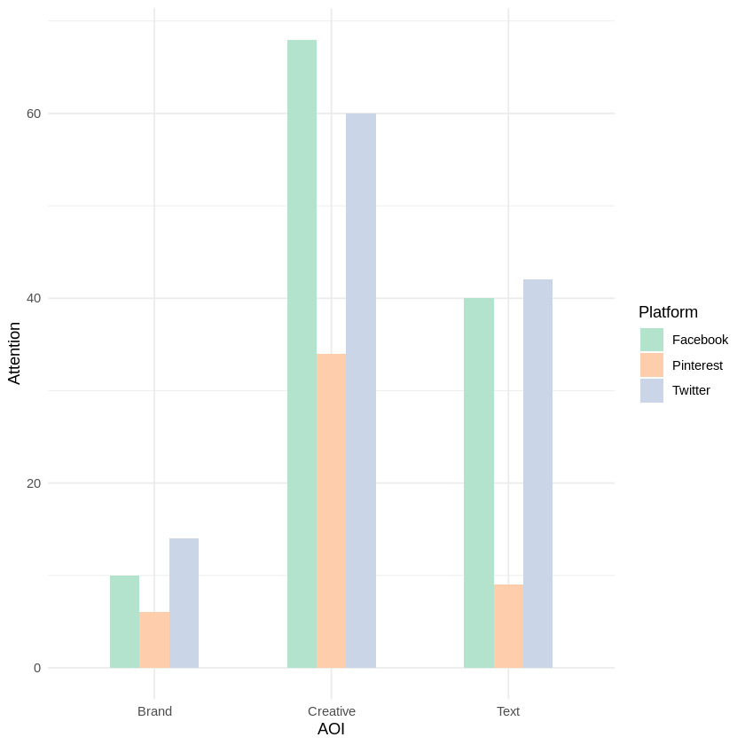
Creative is seen most, brand least!
What might or might not come as a surprise, we also found that the brand by far receives the least amount of attention. By comparison, the creative elements receive 4-5 times more attention.
When we compare which platform wins, it is clear that Facebook and Twitter are often tied or shifting in winning, including:
- Facebook wins on creative attention
- Twitter wins on brand attention
- Both brands are tied for text attention
This is also shown in the following graph:

In many aspects, this result is not surprising: Twitter has designed their platform to focus more on text and brand, and less on creative. By contrast, Facebook has designed their platform much more to focus on the creative. Unfortunately for Pinterest, the platform has many items shown at the same time, and this makes it less likely for any single ad to win attention. By contrast, Twitter and especially Facebook show posts as whole-screen elements. As long as a person looks at the phone screen, they will see the ad.
Cognitive demand is important!
A final finding was made. The Neurons score called Cognitive Demand is a metric that estimates how much visual information a viewer has to process when looking at the picture/video. When pictures are more complex, they lead to higher Cognitive Demand.
Exploring the results with a linear regression model, we find that higher Cognitive Demand is associated with lower ad attention (R2 =, t=-2.2, p=0.03), as you can also see with this plot:

And, to no surprise, since Pinterest has a more busy screen with multiple items, we also found that Cognitive Demand was much higher on Pinterest than Facebook and Twitter:

Who's the winner?
From this analysis, it is clear that Facebook and Twitter stand out as clear winners in the social media attention battle. Pinterest, due to having a more visually busy and cognitive demanding interface, loses out on ad attention.
When we break out the results for different AOIs, we see that Twitter wins on brand attention and Facebook wins on attention to creative elements. From a branding perspective, this is important: on Twitter you are more likely to have your viewers note your brand, while on Facebook people will tend to be slightly more engaged in the ad creative (and that's where you should remember to embed your brand and/or call to action).
Finally, we saw that Cognitive Demand is key for driving ad attention. The poor performance by Pinterest does not mean that you can rest on your laurels when advertising on Facebook or Twitter. If you are presenting ads that are visually complex, it does not save you either way.
Get a free demo of Neurons to see how your ad can win at social media attention


.png)



